Ag: $2.906/g | Ag (No.3): $2.903/g | Cu: $0.015/g | Zn (No.1): $0.003/g | Ni: $0.021/g | SN: $0.058/g | In: $0.648/g | Cd (No.0): $0.004/g | 4/16/2026 12:17:08 AM CET

How are Silvering Saving Electrical Contact Materials Leading the Way?


Posted on 12/10/2024 by Fudar Offical | Views: 1082

In modern electrical equipment, the thermal fuse is a key component for safe operation. It helps prevent serious accidents, such as fires, by detecting overheating in the equipment. It then cuts off the circuit in time to avoid further damage.
The performance of the electrical contact material is crucial, as it is the core component of the thermal fuse. It directly impacts the reliability of the equipment.

Researchers at Fudar Alloys have developed a new type of silver-saving electrical contact material. This breakthrough reduces the use of precious metals and optimizes costs, opening new opportunities for the industry.

Thermal Fuse Working Principle and Material Requirements

The basic function of a thermal fuse is to cut off the circuit when the equipment reaches a set temperature. This is done by triggering a mechanical device using the internal thermal material. Thermal cutoffs are divided into two categories based on the melt materials: organic type and alloy type. Organic type thermal cutoffs are widely used in household appliances, automotive equipment, and other fields.

Organic type thermal fuse mainly consists of lead A/B, sealing resin, ceramic, spring A/B, star contact (movable contact, movable electrode, star contact), metal shell and thermal particles, etc., the cross-section of the normal state is shown in Figure 1. The movable electrode contacts the inner surface of the conductive metal shell. It can move freely within the shell.
Compression spring A is positioned between the movable electrode and the ceramic insulating material. Compression spring B is placed between the movable electrode and the thermal particles.
In the normal state, compression springs A and B are compressed. Due to the stronger elasticity of compression spring B compared to spring A, the movable electrode is pushed towards the ceramic insulating material. As a result, the movable electrode makes contact with lead A under pressure. Lead A is typically made of silver-plated copper.
When lead A and lead B come into contact with the electronic device wire, the current flows from lead A to the movable electrode, then from the movable electrode to the metal shell, and finally from the metal shell to lead B. This forms the current loop, as shown in Figure 2. The heat-sensitive material is an organic substance, such as adipic acid, which has a melting point of 150°C.

Organic Thermal Fuse Before Action

Figure 1 Organic Thermal Fuse Before Action

Type Thermal Fuse Pre-action Current Loop
Figure 2 Organic Type Thermal Fuse Pre-action Current Loop

The cross-section of an organic-type thermal fuse after action is shown in Figure 3. When the specified operating temperature is reached, the thermal pellet softens or melts. Because of the compression of the compression spring, the pellet deforms.
The pressure of the compression spring B is released. Due to the expansion of the compression spring B, the compression of the compression spring A is also released.
Due to the expansion of compression spring A, the movable electrode separates from lead A. As a result, the circuit is cut off. In this condition, the thermal fuse should be replaced. The schematic diagram of the current circuit after the action of the organic-type thermal cutoff is shown in Figure 4.

Type Thermal Fuse After Action
Figure 3 Organic Type Thermal Fuse After Action

Type Thermal Fuse After Action
Figure 4 Current Loop of Organic Type Thermal Fuse After Action

The above typical structure is mainly used for rated currents less than or equal to 16A. For rated currents greater than 16A, a rivet structure with a floating contact is added between lead A and the movable electrode. The floating contact material is usually silver metal oxide, ensuring the reliability of the cut-off process. The structure schematic is shown in Figure 5.

Type Thermal Fuses with Rated Currents of 16A or More
Figure 5 Schematic Structure of Organoleptic Type Thermal Fuses with Rated Currents of 16A or More

The Star Contact is the key component of the organic-type thermal fuse. As the core of the circuit connection, it must meet the following requirements:

1. High softening temperature: Ensure stable contact performance in long-term use.

2. Low contact resistance: Avoid heat generation or lose function with increased resistance.

3. Anti-static welding performance: The contacts need to be cut off quickly during the cut-off test to avoid damage caused by welding.

4. Suitable hardness: Under normal conditions and after the aging test (220℃, 3h), the hardness meets the standard requirements.

5. Suitable resistance to arc burn performance and resistance to fusion welding: Under the condition of rated current and rated voltage, it can be cut off normally once.

6. Suitable plasticity: The star contact will not break during molding, assembly, and use.


Star Contact Structure
Star Contact Structure

Development of Silvering Saving Electrical Contact Materials

To meet the performance needs of thermal fuse and to reduce costs, researchers at Fudar Alloy have investigated two innovative materials:

1. Excellent plasticity AgCuO material

- Material characteristics:

Advantages:
AgCuO has good electrical conductivity, moderate resistance to fusion welding, low resistivity, good thermal stability, and resistance to material transfer.

Disadvantages: Poor plasticity, affecting the processing efficiency and material rate, the overall cost is higher.

Improvement programme:

Structural design: A composite material with a three-layer structure was developed. The structure consists of AgCuO(15) on both the outer layers, with an AgCu12 layer in the middle. The AgCu12 layer provides excellent plasticity, while the outer layers maintain good properties.

Preparation process: An internal oxidation process is used to optimize the material's properties. The oxidation progress is carefully controlled, and the particle size is adjusted. This enhances both plasticity and strength, while maintaining electrical conductivity.

Comprehensive effect:

The improved AgCuO material balances plasticity and performance, which improves processing efficiency and material utilization while meeting the usage requirements.

Comparison of the organization and morphology of AgCuO(15)/AgCu12/AgCuO(15) and conventional internal oxidation process AgCuO(15) materials are shown in Figures 6 and 7.

Organisation and Morphology

Figure 6 AgCuO(15)/AgCu12/AgCuO(15) Organisation and Morphology of AgCuO(15)/AgCu12/AgCuO(15)500X

Prepared by Conventional Internal Oxidation Process 500X

Figure 7 Organisation and Morphology of AgCuO(15) Prepared by Conventional Internal Oxidation Process 500X

In the field of organics-type thermal fuses, the starting softening temperature of the electrical contact material has a great influence on the stability of contact resistance during the actual use of the thermal fuse, and the softening temperature is usually required to reach more than 350℃.
Conventional process AgCuO (15) materials and AgCuO (15)/ AgCu12/ AgCuO (15) materials in the annealed state of the finished product softening curve as shown in Figure 8, according to the softening curve can be seen, AgCuO (15) the starting softening temperature of about 500 ~ 600 ℃.
The starting softening point temperature of AgCuO(15)/ AgCu12/ AgCuO(15) surface layer composed of multilayers AgCuO(15) is also about 500~600°C, and the starting softening point temperature of the intermediate AgCu12 layer is about 400~500°C.

Softening Curveof AgCuO

Figure 8 Softening Curveof AgCuO(15)/AgCu12/AgCuO(15)and AgCuO(15)
Other major physical properties of AgCuO(15)/AgCu12/AgCuO(15) and AgCuO(15)

Materials are shown in Table 1.
AgCuO(15) AgCuO(15)/ AgCu12/AgCuO(15)
Electrical Resistivity μΩ·cm 2.35~2.40 2.33~2.38
Density g/cm3 9.53 9.76
AgCuO Hardness of AgCuO Layer Before Ageing HV0.1 85~90 85~90
AgCuO Hardness of AgCuO Layer After Ageing HV0.1 80~90 80~90
AgCu Hardness of AgCu Layer Before AgeingHV0.1 95~100
AgCu Hardness of AgCu Layer After AgeingHV0.1 90~100
Table 1 AgCuO(15)/AgCu12/AgCuO(15)和AgCuO(15) Physical Properties Data for AgCuO(15)/AgCu12/AgCuO(15) and AgCuO(15)

Silvering Saving Composites (AgCuONiO/Cu/AgCuONiO)

Material structure:

Surface layer: AgCuONiOis used, prepared by internal oxidation process to provide excellent properties.
Center layer: Cu is used instead to reduce the material cost.

Material characteristics:

Excellent electrical and thermal conductivity, low and stable contact resistance; wear-resistant, not easy to soften by aging; arc erosion resistance, reliable performance.

Preparation process and optimization:

The internal oxidation process adjusts the size and distribution of oxide particles. By controlling the oxidation parameters, it meets the performance requirements for different applications.

This material is based on the principle of Diffusion Strengthening of Oxide Particles, and a lot of research has been carried out in China and abroad on its internal oxidation mechanism and parameter optimization.

In the field of composite materials, the research team of Fudar Alloy has developed a silvering-saving AgCuO/Cu/AgCuO electrical contact material.
The AgCuONiO/Cu/AgCuONiO and AgCuO/Cu/AgCuO materials have surface layers of AgCuONiO and AgCuO. The typical material compositions are AgCuO(5)NiO(0.6) and AgCuO(15). A comparison of the overall organization and morphology of these composites is shown in Figures 9 and 10.

Organisation and Morphology

Figure 9 AgCuONiO/ Cu/ AgCuONiO Organisation and Morphology of AgCuONiO/ Cu/ AgCuONiO 500X

Organisation and Morphology

Figure 10 AgCuO/ Cu/ AgCuO Organisation and Morphology of AgCuO/ Cu/ AgCuO 500X

The softening curves of AgCuONiO/ Cu/ AgCuONiO and AgCuO/ Cu/ AgCuO materials in the finished annealed state are shown in Figure 11.
The softening curves show that the starting softening point temperature of AgCuO(15) in the surface layer is about 350–400°C. Similarly, the starting softening point temperature of AgCuO(5)NiO(0.6) is also around 350–400°C. In contrast, the starting softening point temperature of Cu in the center part is only 200–250°C. This demonstrates a significant difference between them. In terms of softening temperature, the AgCuO/ Cu/ AgCuO material can do the same as the AgCuONiO/ Cu/ AgCuONiO material, and the silvering-saving effect is significant due to the lower silver content in the working layer.

Softening Curves ofAgCuO

Figure 11 Softening Curves ofAgCuO(15)/ Cu/ AgCuO(15)and AgCuONiO/Cu/AgCuONiO
Other main physical properties of AgCuONiO/ Cu/ AgCuONiO and AgCuO/Cu/AgCuO

Materials are shown in Table 2.
AgCuONiO/ Cu/ AgCuONiO AgCuO(15)/ Cu/ AgCuO(15)
Electrical Resistivity μΩ·cm 1.90~1.95 2.08~2.13
Density g/cm3
9.44 9.20
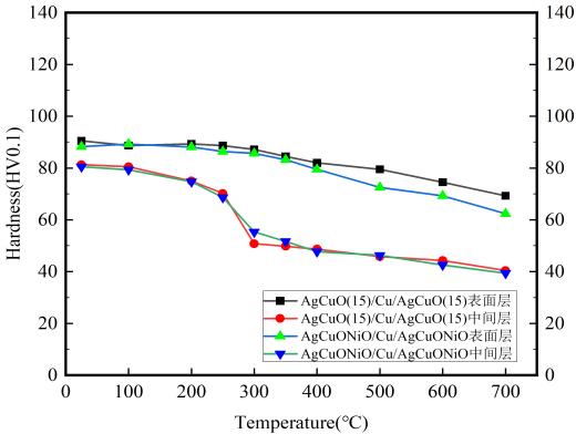
The hardness of Sthe urface Layer Before AgeingHV0.1
85~90 85~90
Hardness of Surface Layer After AgeingHV0.1 80~90 80~90
The hardness of Cu Layer Before Ageing HV0.1 78~83 78~83
Hardness of Cu Layer After Ageing HV0.1 65~75 65~75
Table 2 AgCuO(15)/Cu/AgCuO(15)和AgCuONiO/Cu/AgCuONiO Physical Properties Data for AgCuO(15)/Cu/AgCuO(15)and AgCuONiO/Cu/AgCuONiO

Comprehensive Comparison

AgCu Alloy (Solid Solution Reinforced):

- Advantages: Excellent plasticity, low resistivity.

- Disadvantages: AgCu1 has a low melting and softening temperature of about 950°C, while AgCu15 has a temperature of around 850°C. These materials also exhibit poor contact resistance stability at high temperatures and during long-term use. Additionally, they have inferior cutting-off capacity compared to silver oxide-based materials.

AgCuONiO and AgCuO (Diffusion Reinforced):

- Advantages: The material has appropriate plasticity and a higher melting point of 962°C, which is the same as silver. It also features a higher softening temperature, better long-term contact resistance stability, and a wider temperature range. Additionally, it demonstrates excellent electrical characteristics.

- Disadvantages: Slightly lower electrical contact reliability of composite structures compared to monolithic materials.

Three-layer Composites (AgCuONiO or AgCuO Surface Layer + Cu Centre Layer):

- Advantages: Significant cost reduction, better plasticity, lower resistivity, adjustable thickness of the surface layer to suit different scenarios.

- Disadvantages: The Cu center layer has a lower softening temperature, and the surface layer also has a reduced softening temperature. This results in slightly higher electrical resistance at high temperatures. Additionally, the composite interface may affect the reliability of electrical contact.

AgCu alloys are ideal for low-temperature and low-cost scenarios. AgCuONiO and AgCuO monolithic materials are better suited for high-temperature environments with high-performance requirements. Triple-layer composites offer a balance between performance and cost. However, their reliability under high-temperature conditions needs further attention.

Future Development

To further reduce costs and improve material performance, the study recommends:

1. Develop silver-based materials with low silver content: Efficient low-silver formulations such as AgCuO(20).

2. Optimise the composite core layer: Use high-strength and high-conductivity copper alloys instead of ordinary copper to increase the overall softening temperature.

3. Improvement of pairing structure: Add silver oxide layer at the contact point of star contact and lead wire to enhance anti-melting welding performance.

Conclusion

The development of silver-saving electrical contact materials meets the stringent requirements for the reliability and performance of thermal fuses. It also provides a viable solution for cost reduction and resource efficiency. With the continuous advancement of technology, these innovative materials will demonstrate their potential in more fields. They will play a key role in ensuring the safe operation of electrical equipment. If you have any questions about silvering saving electrical contact materials, please feel free to contact us.

Contact Us

Please fill out the form below. Our sales team is ready to assist you with any questions or inquiries.

MESSAGE

CONTACT US
Thank you! Your message has been sent.
Unable to send your message. Please fix errors then try again.

Search

Contact

Thank you for visiting us. Please leave a message and we will reply by email.

CONTACT US

THANK YOU!

Thank you for contacting us. We will reply to you as soon as one of our agents is available

Close this Window